คู่มือการทำ Moderation Analysis ใน AMOS นี้จะพาคุณเรียนรู้วิธีการวิเคราะห์ตัวแปรกำกับ (Moderation Analysis) โดยใช้ AMOS Graphics แบบทีละขั้นตอน พร้อมกรณีศึกษาและข้อมูลตัวอย่างที่ใช้งานได้จริง
คุณจะได้เรียนรู้วิธีการ Standardize ตัวแปรใน SPSS, คำนวณ Interaction Terms, สร้าง Structural Equation Models ใน AMOS และการแปลผล Moderation Analysis Results อย่างถูกต้อง การวิเคราะห์ตัวแปรกำกับ มักเรียกกันว่า Moderated Multiple Regression หรือ MMR (Aguinis, 2004) เป็นเทคนิคทางสถิติที่ใช้ในการตรวจสอบว่าตัวแปรที่สาม (Moderator) มีผลต่อความแข็งแกร่งหรือทิศทางของความสัมพันธ์ระหว่างตัวแปรอิสระและตัวแปรตามหรือไม่
สิ่งสำคัญที่ควรทราบคือ คุณสามารถทำการวิเคราะห์ตัวแปรกำกับ (Interaction Analysis) ได้โดยใช้ Ordinary Least Squares (OLS) regression ใน SPSS เพียงอย่างเดียว อย่างไรก็ตาม หากคุณต้องการใช้ Model ที่มีตัวแปรหลายตัวใน AMOS เราจำเป็นต้อง Standardize ค่าตัวแปรเชิงปริมาณทั้งหมดใน SPSS ก่อน เพื่อลด Multicollinearity ที่อาจเกิดขึ้นใน AMOS
ในการทำ Tutorial นี้ คุณจะต้องมี SPSS Statistics และ AMOS ติดตั้งอยู่ในคอมพิวเตอร์ของคุณ
Moderation Analysis คืออะไร?
เมื่อเราทำการวิจัยปรากฏการณ์ใดปรากฏการณ์หนึ่งที่เกี่ยวข้องกับปฏิสัมพันธ์ระหว่างตัวแปรตั้งแต่สองตัวขึ้นไป เราต้องการผลการวิจัยที่สามารถนำไปใช้กับโลกแห่งความเป็นจริงได้
แม้ว่าปัจจัยภายนอกหลายอย่างอาจส่งผลต่อความสัมพันธ์ระหว่างตัวแปรทั้งสอง แต่เราไม่สามารถนำปัจจัยเหล่านั้นทั้งหมดมารวมอยู่ในการศึกษาเดียวได้ อย่างไรก็ตาม เราสามารถระบุปัจจัยที่มีความสำคัญสูงสำหรับกรณีศึกษาของเราและตรวจสอบว่าปัจจัยเหล่านั้นมีผลกระทบหรือควบคุม (Moderate) ความสัมพันธ์ระหว่างตัวแปรทั้งสองหรือไม่
ในทางสถิติ Moderation Analysis หมายถึง กระบวนการทดสอบผลกระทบของตัวแปรกำกับ (Mo) ต่อความสัมพันธ์ระหว่างตัวแปรอิสระ (X) และตัวแปรตาม (Y)
ตัวแปรกำกับ (Mo) มีผลต่อความสัมพันธ์ระหว่างตัวแปรอิสระ (X) และตัวแปรตาม (Y)
ตัวแปรกำกับ (Moderator Variables) หรือที่เรียกว่า Interaction Variables สามารถเป็นได้ทั้งตัวแปรเชิงปริมาณ (Quantitative) เช่น อายุ, น้ำหนัก, คะแนนสอบ หรือตัวแปรเชิงคุณภาพ (Qualitative) เช่น เพศ, ระดับการศึกษา, สถานะทางสังคม เป็นต้น
หากตัวแปรในการศึกษาของคุณเป็นตัวแปรเชิงปริมาณ ตัวแปรเหล่านั้นจำเป็นต้องถูกคำนวณเป็น Mean Center (ค่าเฉลี่ยของค่าทั้งหมด) ก่อนที่จะทำ Moderation Analysis ใน AMOS วิธีนี้ไม่เพียงแต่ทำให้การแปลผลง่ายขึ้น แต่ยังช่วยลดปัญหา Multicollinearity ที่อาจเกิดขึ้นกับ Model เมื่อมีตัวแปรหลายตัว
Multicollinearity สามารถทำให้ค่าประมาณ (Estimates) มีความอ่อนไหวต่อการเปลี่ยนแปลงเล็กน้อยใน Model เนื่องจากความแปรปรวนของค่าสัมประสิทธิ์ประมาณเพิ่มขึ้น
Moderation Analysis ใน AMOS [กรณีศึกษา]
สมมติว่าเราต้องการตรวจสอบว่ากฎระเบียบทางการเงิน (Financial Regulation) มีผลกำกับต่อความสัมพันธ์ระหว่างการลงทุนทางการเงิน (Financial Investment) และความเสี่ยง (Risk) หรือไม่
ในกรณีนี้ กฎระเบียบ (Regulation) คือตัวแปรกำกับ (Mo), การลงทุน (Investment) คือตัวแปรอิสระ (X) และความเสี่ยง (Risk) คือตัวแปรตาม (Y) กล่าวอีกนัยหนึ่ง เราจะตรวจสอบผลกำกับของกฎระเบียบต่อความสัมพันธ์ระหว่างการลงทุนและความเสี่ยง
Conceptual Model ของ Moderation Analysis: กฎระเบียบกำกับความสัมพันธ์ระหว่างการลงทุนและความเสี่ยง
หากต้องการทำตามบทเรียนนี้ คุณสามารถดาวน์โหลดชุดข้อมูลตัวอย่างจาก Sidebar ได้ ชุดข้อมูลนี้เป็นข้อมูลจำลองเพื่อการศึกษาเท่านั้น
หรือคุณสามารถใช้ชุดข้อมูลของคุณเอง หรือสร้างชุดข้อมูลใหม่โดย สุ่มตัวเลขใน Excel แล้วนำเข้าไฟล์ Excel ใน SPSS Statistics
นำเข้าชุดข้อมูลใน SPSS
ก่อนที่เราจะดำเนินการ Moderation Analysis ใน AMOS เราต้อง Mean Center ค่าของตัวแปรเชิงปริมาณที่ใช้ในการศึกษาของเราก่อน
แตกไฟล์ Zip และดับเบิลคลิกที่ไฟล์ตัวอย่าง SPSS (Moderator Analysis SPSS Sample.sav) ที่ดาวน์โหลดมาก่อนหน้านี้ ชุดข้อมูลตัวอย่างที่นำเข้าใน SPSS ควรมีลักษณะตามภาพด้านล่าง
ชุดข้อมูล SPSS สำหรับ AMOS Moderation Analysis พร้อมตัวแปรที่คำนวณแล้ว
โดยที่:
-
Financial1-3 คือ ตัวแปร Financial Investment (เชิงปริมาณ)
-
Risk1-3 คือ ตัวแปร Financial Risk (เชิงปริมาณ)
-
Regulation1-2 คือ ตัวแปร Financial Regulation (เชิงปริมาณ)
-
INVESTMENT คือ ตัวแปรอิสระ (X) ที่คำนวณจากตัวแปร Financial1-3
-
RISK คือ ตัวแปรตาม (Y) ที่คำนวณจากตัวแปร Risk1-3
-
REGULATION คือ ตัวแปรกำกับ (W) ที่คำนวณจากตัวแปร Regulation1-2
จากนี้ไป เราจะมุ่งเน้นไปที่ตัวแปรที่คำนวณแล้ว (INVESTMENT, RISK และ REGULATION) เท่านั้น
หากต้องการนำเข้าชุดข้อมูลของคุณเองใน SPSS ให้ไปที่เมนูด้านบน File → Import Data → Excel ในหน้าต่าง Open Data ไปยังตำแหน่งที่ไฟล์ Excel อยู่ในดิสก์ของคุณ เลือกไฟล์และคลิกปุ่ม Open
สร้างค่า Standardized สำหรับตัวแปรใน SPSS
เพื่อหลีกเลี่ยงปัญหา Multicollinearity กับ Model เราควรสร้างค่า Standardized สำหรับตัวแปรอิสระ, ตัวแปรตาม และตัวแปรกำกับในตัวอย่างของเรา
ในเมนูด้านบนของ SPSS Statistics ให้ไปที่ Analyze → Descriptive Statistics → Descriptives
ในหน้าต่าง Descriptives ให้ย้ายตัวแปร INVESTMENT, RISK และ REGULATION โดยเลือกตัวแปรแต่ละตัวในช่องทางซ้าย และคลิกปุ่ม ลูกศร ตรงกลางเพื่อย้ายไปทางขวา
ตรวจสอบให้แน่ใจว่าได้เลือก Checkbox Save standardized values as variables แล้ว กดปุ่ม OK เพื่อสร้างค่า Standardized สำหรับตัวแปรที่เลือก

การทำเช่นนี้จะสร้างตัวแปร Standardized ใหม่สามตัว คือ ZINVESTMENT, ZRISK และ ZREGULATION

คำนวณค่าสำหรับ Interaction Variable
ต่อไป เราต้องคำนวณค่าสำหรับ Interaction Variable โดยการคูณระหว่างตัวแปรอิสระและตัวแปรกำกับ
บนเมนูด้านบนของ SPSS ให้ไปที่ Transform → Compute Variable
ในหน้าต่าง Compute Variable:
[1] พิมพ์ชื่อ (เช่น INTERACTION) ในช่อง Target Variable
[2] เลือกตัวแปรอิสระ (ZINVESTMENT) ในช่องทางซ้าย และใช้ปุ่ม ลูกศร เพื่อย้ายไปยังช่อง Numeric Expression
[3] คลิกปุ่มคูณ (*) ในเครื่องคิดเลข
[4] เพิ่มตัวแปรกำกับ (ZREGULATION) ไปยังช่อง Numeric Expression
[5] คลิก OK เพื่อคำนวณ Interaction Variable
นี่คือภาพแสดงขั้นตอนเหล่านี้

โปรดทราบว่าเราใช้เฉพาะตัวแปร Standardized ในการคำนวณ Interaction (Moderator) Variable เท่านั้น
บันทึกชุดข้อมูลใน SPSS
ขั้นตอนสุดท้ายใน SPSS คือการบันทึกงานของเรา เพื่อให้ตัวแปรใหม่ทั้งหมดปรากฏใน AMOS ให้ไปที่ File → Save As ตั้งชื่อชุดข้อมูลใหม่ แล้วคลิกปุ่ม Save

ตอนนี้เราพร้อมที่จะทำ Moderation Analysis ใน AMOS โดยใช้ชุดข้อมูล SPSS ตัวอย่างของเราแล้ว
นำเข้าชุดข้อมูล SPSS ใน AMOS
เปิด AMOS สิ่งแรกที่เราต้องทำคือนำเข้าชุดข้อมูล SPSS ใหม่เข้าสู่ AMOS ให้คลิกที่ไอคอน Select Data File บนแผงไอคอน

ในหน้าต่าง Data Files ให้คลิกปุ่ม File Name และไปยังตำแหน่งที่คุณบันทึกไฟล์ SPSS ไว้ก่อนหน้านี้ (ขั้นตอนที่ 4) เลือกไฟล์และคลิก Open
เพื่อทำการนำเข้าให้เสร็จสมบูรณ์ ให้คลิก OK ในหน้าต่าง Data Files

สร้าง Model ใน AMOS
ในการสร้าง Model สำหรับกรณีศึกษาของเราใน AMOS ก่อนอื่นให้คลิกที่ไอคอน List variables in data set เพื่อแสดงตัวแปรทั้งหมดในชุดข้อมูล

ลากและวางตัวแปรอิสระ, ตัวแปรกำกับ และ Interaction Variable ไว้ทางซ้ายของพื้นที่ทำงาน และตัวแปรตามไว้ทางขวา ตามที่แสดงในภาพด้านล่าง ไม่ต้องกังวลเรื่องความสวยงามในตอนนี้ เราจะปรับแต่งในอีกสักครู่

สร้างความสัมพันธ์เชิงเหตุและผล (Cause and Effect)
ในการสร้างความสัมพันธ์เชิงเหตุและผลระหว่างตัวแปรในการศึกษาของเรา ก่อนอื่นให้คลิกที่ไอคอน Draw paths (single-headed arrows)

ในตัวอย่างนี้ ตัวแปรพยากรณ์ทั้งหมดที่แทนด้าน เหตุ (Cause) อยู่ทางซ้าย ในขณะที่ตัวแปรที่ถูกพยากรณ์ซึ่งแทนด้าน ผล (Effect) อยู่ทางขวาของพื้นที่ทำงาน
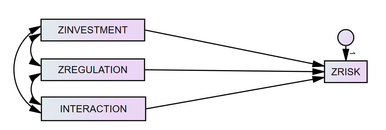
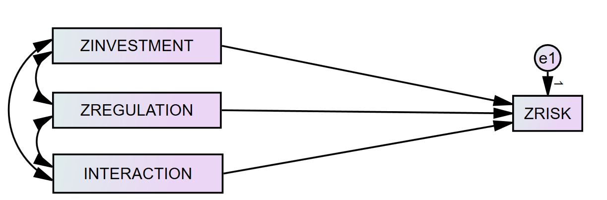
วาดลูกศรจากตัวแปรพยากรณ์ทั้งหมด (ZINVESTMENT, ZREGULATION, INTERACTION) ไปชี้ที่ตัวแปรที่ถูกพยากรณ์ (ZRISK) Model สำหรับกรณีศึกษานี้ควรมีหน้าตาแบบนี้ใน AMOS:

สร้าง Covariance ระหว่างตัวแปรพยากรณ์
Covariance ใช้ในการกำหนดความสัมพันธ์ระหว่างตัวแปรพยากรณ์ใน Model ของเรา ใน AMOS ในการสร้าง Covariance ระหว่างตัวแปรพยากรณ์ ให้คลิกที่ไอคอน Draw covariance (double-headed arrows)

จากนั้น วาด Covariance ระหว่างตัวแปร ZINVESTMENT, ZREGULATION และ INTERACTION

เพิ่ม Residual (Error) ให้กับตัวแปรที่ถูกพยากรณ์
เช่นเดียวกับการวิเคราะห์ OLS, Residual (Error) ใช้เพื่อแสดงความแตกต่างระหว่างค่าที่พยากรณ์และค่าจริงที่สังเกตได้ กล่าวอีกนัยหนึ่ง คือระยะห่างในแนวตั้งของจุดข้อมูลจากเส้น Regression
ในการเพิ่ม Residual (Error) ใน AMOS ให้เลือกไอคอน Add a unique variable to an existing variable

คลิกที่ตัวแปรที่ถูกพยากรณ์ (ZRISK)

สุดท้าย เราต้องเพิ่มชื่อให้กับ Error วิธีที่ง่ายที่สุดคือสั่งให้ SPSS ตั้งชื่อให้โดยไปที่ Plugins → Name Unobserved Variables SPSS จะตั้งชื่อตัวแปร Residual ในกรณีนี้ว่า "e1" ตามที่เห็นด้านล่าง

ปรับแต่ง Model ของคุณ
ก่อนที่เราจะดำเนินการต่อกับ Moderation Analysis ใน AMOS มาทำงานด้านความสวยงามของแผนภาพกัน AMOS มีเครื่องมือบางอย่างที่เข้าถึงได้ผ่านแผงไอคอนและแสดงอยู่ในแผนภาพต่อไปนี้

ส่วนใหญ่แล้ว คุณจะต้องย้ายวัตถุ, เปลี่ยนรูปร่างของวัตถุ, คัดลอกวัตถุ และลบวัตถุ
ในการแก้ไขแผนภาพที่ยุ่งเหยิงอย่างรวดเร็ว ให้ใช้เครื่องมือ Touch-up a Variable (ไม้กายสิทธิ์) และคลิกที่รูปร่างทั้งหมดใน Model ของคุณ AMOS จะจัดเรียงทุกอย่างอย่างรวดเร็วและทำให้แผนภาพของคุณดูดีขึ้นมาก
คุณสามารถเปลี่ยนสี, ขนาดตัวอักษร, สไตล์ ฯลฯ ผ่านหน้าต่าง Object Properties ซึ่งเข้าถึงได้โดยดับเบิลคลิกที่วัตถุใดๆ ในพื้นที่ทำงาน
เปลี่ยน Analysis Properties สำหรับไฟล์ Output
ก่อนที่เราจะดำเนินการต่อกับ Moderation Effect ใน AMOS เราต้องเปลี่ยนคุณสมบัติบางอย่างของไฟล์ Output ไปที่ View → Analysis Properties คลิกที่แท็บ Output และเลือก Checkbox ต่อไปนี้:
-
Minimization history
-
Standardized estimates
-
Squared multiple correlations

ปิดหน้าต่าง Analysis Properties
บันทึก Model ใน AMOS
ในการบันทึก Model ของคุณ ไปที่ File → Save As พิมพ์ชื่อไฟล์ และกดปุ่ม Save ไฟล์ AMOS ของคุณจะมีนามสกุล .amw
รัน Moderator Analysis ใน AMOS
ในที่สุด เราก็พร้อมที่จะรัน Moderation Analysis ใน AMOS แล้ว ในการดำเนินการต่อ ให้ไปที่ Analyze → Calculate Estimates หรือเพียงแค่กดปุ่ม CTRL+F9
AMOS จะทำการวิเคราะห์และแสดงค่าประมาณใน Model

ผลการวิเคราะห์ Moderation Analysis ใน AMOS
เมื่อการวิเคราะห์เสร็จสมบูรณ์ ให้ไปที่ View → Text Output หรือเพียงแค่กดปุ่ม F10 บนคีย์บอร์ดของคุณเพื่อตรวจสอบผล Moderation Analysis
ในหน้าต่าง AMOS Output ให้คลิกที่ Estimates ผลกำกับของ Interaction Variable จะแสดงอยู่ภายใต้ Regression Weights

การแปลผล Moderation Analysis Results
ก่อนที่เราจะเจาะลึกการวิเคราะห์ผล โปรดทราบว่า AMOS เป็นซอฟต์แวร์ที่ออกแบบมาสำหรับการวิเคราะห์ประเภทอื่นๆ [Confirmatory Factor Analysis (CFA), Structural Equation Modeling (SEM), Path Analysis ฯลฯ] และไม่ได้เหมาะกับการทำ Moderation Analysis มากนัก
หากคุณกำลังมองหาการค้นหาระดับของผลกระทบแบบมีเงื่อนไข (Conditional Effects) ของตัวแปรพยากรณ์หลัก ลองดูที่ Moderation Analysis โดยใช้ PROCESS Macro ใน SPSS ซึ่งเป็นทางเลือกที่เหมาะสมกว่า
เมื่อดูที่คอลัมน์ P เราสามารถสังเกตได้ว่า Interaction Effect ของตัวแปร INTERACTION ต่อ ZRISK มีค่า 0.802 (P > 0.05) ดังนั้นจึงไม่มีนัยสำคัญทางสถิติ ความน่าจะเป็นที่จะได้ค่า Critical Ratio ที่มีค่าสัมบูรณ์มากเท่ากับ 0.251 คือ 0.802 กล่าวอีกนัยหนึ่ง Regression Weight ของ INTERACTION ในการพยากรณ์ ZRISK ไม่แตกต่างจากศูนย์อย่างมีนัยสำคัญที่ระดับ 0.05 (Two-tailed)
ในทำนองเดียวกัน ZINVESTMENT ไม่มีผลต่อ ZRISK โดยมีค่า 0.220 (P > 0.05) และดังนั้นจึงไม่มีนัยสำคัญทางสถิติเช่นกัน ความน่าจะเป็นที่จะได้ค่า Critical Ratio ที่มีค่าสัมบูรณ์มากเท่ากับ 1.227 คือ 0.220 กล่าวอีกนัยหนึ่ง Regression Weight ของ ZINVESTMENT ในการพยากรณ์ ZRISK ไม่แตกต่างจากศูนย์อย่างมีนัยสำคัญที่ระดับ 0.05 (Two-tailed)
อย่างไรก็ตาม เราสามารถเห็นได้ว่าความสัมพันธ์ระหว่าง ZREGULATION และ ZRISK มีนัยสำคัญทางสถิติ (P < 0.05) กล่าวอีกนัยหนึ่ง Regression Weight ของ ZREGULATION ในการพยากรณ์ ZRISK แตกต่างจากศูนย์อย่างมีนัยสำคัญที่ระดับ 0.001 (Two-tailed)
สรุป Interaction Effect ของกฎระเบียบต่อความเสี่ยงทางการเงินไม่มีนัยสำคัญทางสถิติในกรณีศึกษานี้
โปรดทราบว่าในตัวอย่างนี้เราใช้ชุดข้อมูลขนาดเล็กที่มีค่าสมมติเพื่อการศึกษาเท่านั้น ชุดข้อมูลที่ใหญ่กว่าอาจให้ผลลัพธ์ที่แตกต่างกัน
คำถามที่พบบ่อย
สรุป
การทำ Moderation Analysis ใน AMOS เป็นกระบวนการที่ค่อนข้างง่าย ซึ่งช่วยให้เราทดสอบว่าตัวแปรกำกับมีผลต่อความสัมพันธ์ระหว่างตัวแปรตามและตัวแปรอิสระใน Regression หรือไม่
แม้ว่า AMOS จะเป็นที่รู้จักมากที่สุดในการใช้งานด้าน Structural Equation Modeling (SEM), Confirmatory Factor Analysis, Covariance และ Path Analysis แต่ความสามารถของมันก็ยังมีมากกว่านั้น บทเรียนนี้เป็นเพียงหนึ่งในตัวอย่างเหล่านั้น
เอกสารอ้างอิง
Aguinis, H. (2004). Regression analysis for categorical moderators. Guilford Press.