Análisis de Moderación en AMOS Paso a Paso [Guía Completa]

By Leonard Cucoses
Statistical TestsAdvanced AnalysisSPSS Tutorials

Este tutorial paso a paso te muestra cómo realizar el análisis de moderación en AMOS Graphics usando un caso de estudio práctico con datos de ejemplo.

Aprenderás a estandarizar variables en SPSS, calcular los términos de interacción, construir modelos de ecuaciones estructurales en AMOS e interpretar los resultados de moderación. El análisis de moderación (también llamado regresión múltiple moderada o MMR) es una técnica estadística que evalúa si una tercera variable afecta la fuerza o dirección de la relación entre tus variables independiente y dependiente.

También puedes realizar el análisis de moderación usando regresión Ordinary Least Squares (OLS) solo en SPSS. Sin embargo, si trabajas con modelos en AMOS, necesitas estandarizar todas las variables cuantitativas en SPSS primero para reducir los problemas de multicolinealidad.

Para completar este tutorial necesitas SPSS Statistics y AMOS instalados en tu computadora.

¿Qué es el análisis de moderación?

Al investigar un fenómeno que involucra la interacción entre dos o más variables, queremos obtener resultados relevantes que se apliquen al mundo real.

Aunque muchos factores externos pueden afectar cómo se relacionan dos variables, sería imposible incluir todos en un solo estudio. Sin embargo, podemos identificar aquellos factores de alta relevancia para nuestro caso e investigar si tienen un efecto o moderan la relación entre dos variables.

En estadística, el análisis de moderación se refiere al proceso de evaluar los efectos de una variable moderadora (Mo) sobre la relación entre una variable independiente (X) y una variable dependiente (Y).

Variable moderadora en investigación: Mo afecta la relación entre X e Y Figura 1: La variable moderadora (Mo) afecta la relación entre la variable independiente (X) y la variable dependiente (Y).

Las variables moderadoras, también conocidas como variables de interacción, pueden ser cuantitativas (valores numéricos: edad, peso, puntaje, etc.) o cualitativas (valores no numéricos: género, educación, estatus social, etc.).

Si las variables en tu estudio son cuantitativas, necesitan calcularse como centro de la media (promedio de todos los valores) antes de realizar el análisis de moderación en AMOS. Esto no solo facilita la interpretación, sino que también reduce los posibles problemas de multicolinealidad con el modelo cuando hay múltiples variables presentes.

La multicolinealidad puede hacer que las estimaciones sean muy sensibles incluso al cambio más pequeño en el modelo, debido a un aumento en la varianza de los coeficientes estimados.

Análisis de moderación en AMOS [Caso de estudio]

Supongamos que investigamos si la regulación financiera tiene un efecto moderador sobre la relación entre la inversión financiera y el riesgo.

En este caso, la regulación es la variable moderadora (Mo), la inversión es la variable independiente (X) y el riesgo es la variable dependiente (Y). En otras palabras, investigaremos los efectos moderadores de la regulación sobre la relación entre inversión y riesgo.

Caso de estudio de moderación: regulación como moderador (Mo), inversión como variable independiente (X) y riesgo como variable dependiente (Y) Figura 2: Modelo conceptual del análisis de moderación: la regulación modera la relación inversión-riesgo.

Para seguir este tutorial, descarga el dataset de ejemplo desde la barra lateral. Se trata de un dataset ficticio con fines educativos.

Alternativamente, puedes usar tu propio dataset o crear uno nuevo generando números aleatorios en Excel e importando el archivo de Excel en SPSS Statistics.

Importar un dataset en SPSS

Antes de continuar con el análisis de moderación en AMOS, necesitamos centrar los valores de las variables cuantitativas usadas en nuestro estudio.

Descomprime y haz doble clic en el archivo de ejemplo SPSS (Moderator Analysis SPSS Sample.sav) descargado previamente. El dataset importado en SPSS debería verse como la captura que se muestra a continuación.

Vista de datos en SPSS mostrando las variables Financial, Risk y Regulation para el análisis de moderación en AMOS Figura 3: Vista de variables en SPSS con el dataset del caso de estudio.

Donde:

  • Financial1-3 son las variables de Inversión Financiera (cuantitativas)

  • Risk1-3 son las variables de Riesgo Financiero (cuantitativas)

  • Regulation1-2 son las variables de Regulación Financiera (cuantitativas)

  • INVESTMENT es la variable independiente (X), calculada a partir de las variables Financial1-3.

  • RISK es la variable dependiente (Y), calculada a partir de las variables Risk1-3.

  • REGULATION es la variable moderadora (W), calculada a partir de las variables Regulation1-2.

De aquí en adelante, nuestro enfoque será exclusivamente en las variables calculadas (INVESTMENT, RISK y REGULATION).

Para importar tu propio dataset en SPSS, en el menú superior ve a File → Import Data → Excel. En la ventana Open Data, navega hasta la ubicación donde se encuentra el archivo de Excel en tu disco, selecciona el archivo y haz clic en el botón Open.

Crear valores estandarizados para las variables en SPSS

Para evitar problemas de multicolinealidad con el modelo, debemos crear valores estandarizados para las variables independiente, dependiente y moderadora de nuestro ejemplo.

En el menú superior de SPSS Statistics, navega a Analyze → Descriptive Statistics → Descriptives.

En la ventana Descriptives, mueve las variables INVESTMENT, RISK y REGULATION seleccionando cada variable en el cuadro izquierdo y haciendo clic en el botón de flecha en el centro para moverla a la derecha.

Asegúrate de que la casilla Save standardized values as variables esté marcada. Presiona el botón OK para crear los valores estandarizados de las variables seleccionadas.

Guardar valores estandarizados como variables en SPSS para análisis de moderación Figura 4: Ventana Descriptives en SPSS con la opción Save standardized values marcada.

Esto creará tres nuevas variables estandarizadas: ZINVESTMENT, ZRISK y ZREGULATION.

Visualizar valores estandarizados en SPSS para las variables del modelo de moderación Figura 5: Variables estandarizadas creadas en SPSS (ZINVESTMENT, ZRISK, ZREGULATION).

Calcular los valores de la variable de interacción

A continuación, necesitamos calcular los valores de la variable de interacción calculando el producto entre la variable independiente y la variable moderadora.

En el menú superior de SPSS, navega a Transform → Compute Variable.

En la ventana Compute Variable:

[1] Escribe un nombre (por ejemplo, INTERACTION) en el campo Target Variable.

[2] Selecciona la variable independiente (ZINVESTMENT) en el cuadro izquierdo y usa el botón de flecha para moverla al campo Numeric Expression.

[3] Haz clic en el botón de multiplicar (*) de la calculadora.

[4] Agrega la variable moderadora (ZREGULATION) al campo Numeric Expression.

[5] Haz clic en OK para calcular la variable de interacción.

Esta es una representación gráfica de estos pasos.

Calcular la variable de interacción en SPSS multiplicando ZINVESTMENT por ZREGULATION Figura 6: Ventana Compute Variable en SPSS para calcular el término de interacción (ZINVESTMENT * ZREGULATION).

Ten en cuenta que solo usamos variables estandarizadas para calcular la variable de interacción (moderadora).

Guardar el dataset en SPSS

El paso final en SPSS es guardar nuestro trabajo para que todas las nuevas variables aparezcan en AMOS. Para hacerlo, navega a File → Save As, asigna un nombre al nuevo dataset y haz clic en el botón Save.

Guardar un dataset en SPSS con las variables estandarizadas y de interacción Figura 7: Ventana Save Data As en SPSS para guardar el dataset con las nuevas variables.

Ahora estamos listos para realizar un análisis de moderación en AMOS usando nuestro dataset de ejemplo de SPSS.

Importar el dataset de SPSS en AMOS

Abre Amos. Lo primero que necesitamos hacer es importar el nuevo dataset de SPSS en AMOS. Para hacerlo, haz clic en el icono Select Data File en el panel de iconos.

Icono Select Data File en el panel de herramientas de AMOS Figura 8: Icono Select Data File en el panel de herramientas de AMOS.

En la ventana Data Files, haz clic en el botón File Name y navega hasta la ubicación donde guardaste el archivo de SPSS anteriormente (Paso 4). Selecciona el archivo y haz clic en Open.

Para finalizar la importación, haz clic en OK en la ventana Data Files.

Importar dataset de SPSS en AMOS para el análisis de moderación Figura 9: Ventana Data Files en AMOS con el dataset SPSS importado.

Crear un modelo en AMOS

Para crear el modelo de nuestro caso de estudio en AMOS, primero haz clic en el icono List variables in data set para visualizar todas las variables del dataset.

Icono List variables in data set en AMOS para ver las variables disponibles Figura 10: Icono List variables in data set en AMOS.

Arrastra y suelta las variables independiente, moderadora y de interacción en el lado izquierdo del espacio de trabajo, y la variable dependiente en el lado derecho, similar a como se muestra en la captura. No te preocupes por la estética por ahora; la ajustaremos en un momento.

Agregar variables al espacio de trabajo de AMOS para el modelo de moderación Figura 11: Variables arrastradas al espacio de trabajo de AMOS desde la lista de variables.

Establecer la relación de causa y efecto

Para establecer la relación de causa y efecto entre las variables de nuestro estudio, primero haz clic en el icono Draw paths (single-headed arrows).

Icono Draw paths para dibujar flechas simples en AMOS Figura 12: Icono Draw paths (flechas simples) en AMOS.

En este ejemplo, todas las variables predictoras que representan la causa están ubicadas en el lado izquierdo, mientras que la variable predicha (efecto) está en el lado derecho del espacio de trabajo.

Dibuja flechas desde todos los predictores (ZINVESTMENT, ZREGULATION, INTERACTION) apuntando hacia la variable predicha (ZRISK). El modelo para este caso de estudio debería verse así en AMOS:

Modelo de trayectorias con relaciones causa-efecto en AMOS para análisis de moderación Figura 13: Modelo de trayectorias con flechas simples de los predictores hacia ZRISK.

Establecer la covarianza entre predictores

La covarianza se utiliza para determinar la relación entre las variables predictoras de nuestro modelo. En AMOS, para establecer la covarianza entre predictores, primero haz clic en el icono Draw covariance (double-headed arrows).

Icono Draw covariance para dibujar flechas dobles en AMOS Figura 14: Icono Draw covariance (flechas dobles) en AMOS.

A continuación, dibuja covarianzas entre las variables ZINVESTMENT, ZREGULATION e INTERACTION.

Covarianzas establecidas entre las variables predictoras en AMOS Figura 15: Covarianzas (flechas dobles) establecidas entre ZINVESTMENT, ZREGULATION e INTERACTION.

Agregar el residual (error) a la variable predicha

De forma similar al análisis OLS, el residual (error) se usa para mostrar la diferencia entre el valor predicho y el valor real observado. En otras palabras, qué tan lejos verticalmente están los puntos de datos de la línea de regresión.

Para agregar el residual (error) en AMOS, selecciona el icono Add a unique variable to an existing variable.

Icono para agregar una variable única a una variable existente en AMOS Figura 16: Icono Add a unique variable to an existing variable en AMOS.

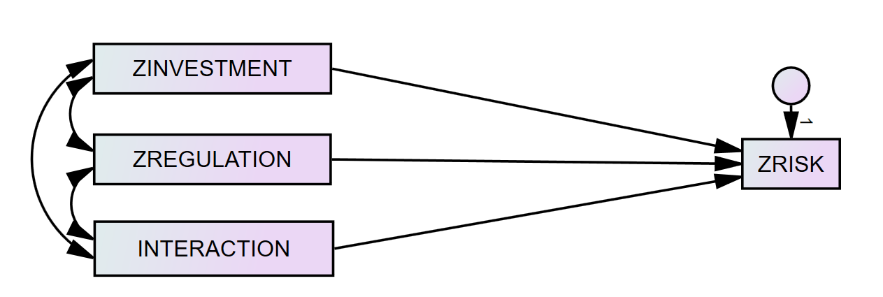
Haz clic en la variable predicha (ZRISK).

Asignar nombre a la variable residual del modelo de moderación en AMOS Figura 17: Variable residual (error) agregada a ZRISK sin nombre asignado.

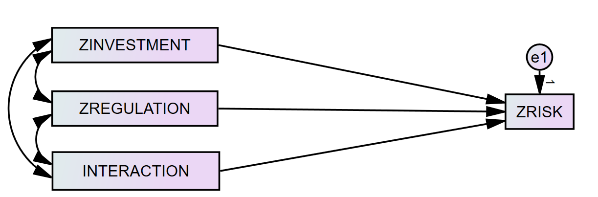
Finalmente, necesitamos agregar un nombre para el error. La forma más sencilla es indicarle a SPSS que lo nombre, navegando a Plugins → Name Unobserved Variables. SPSS nombró la variable residual en este caso como "e1", como se muestra a continuación.

Modelo completo de moderación en AMOS con todas las trayectorias y el error residual Figura 18: Modelo completo de moderación en AMOS con el error residual e1 asignado.

Mejorar la apariencia de tu modelo

Antes de continuar con el análisis de moderación en Amos, trabajemos en la estética de tu diagrama. Amos proporciona varias herramientas accesibles desde el panel de iconos, que se listan en el siguiente diagrama.

Herramientas más usadas para la estética de objetos en AMOS Figura 19: Herramientas del panel de iconos de AMOS para mover, duplicar, rotar y dar formato a objetos.

En la mayoría de los casos, necesitarás mover objetos, cambiar la forma del objeto, duplicar objetos y borrar objetos.

Para corregir rápidamente un diagrama desordenado, usa la herramienta touch-up a variable (varita) y haz clic en todas las formas de tu modelo. AMOS alineará rápidamente todo y mejorará significativamente la apariencia de tu diagrama.

Puedes cambiar los colores, tamaño de fuente, estilo, etc., a través de la ventana Object Properties, accesible al hacer doble clic en cualquier objeto del espacio de trabajo.

Cambiar las propiedades de análisis para el archivo de salida

Antes de continuar con el efecto de moderación en AMOS, necesitamos cambiar algunas propiedades del archivo de salida. Navega a View → Analysis Properties, haz clic en la pestaña Output y marca las siguientes casillas:

  • Minimization history

  • Standardized estimates

  • Squared multiple correlations

Cambiar las propiedades de análisis para el archivo de salida en AMOS Figura 20: Pestaña Output de Analysis Properties con las casillas requeridas marcadas.

Cierra la ventana de Analysis Properties.

Guardar el modelo en AMOS

Para guardar tu modelo, ve a File → Save As, escribe un nombre de archivo y presiona el botón Save. Tu archivo de Amos tendrá la extensión .amw.

Ejecutar el análisis de moderación en AMOS

Finalmente, estamos listos para ejecutar un análisis de moderación en AMOS. Para continuar, navega a Analyze → Calculate Estimates o simplemente presiona la combinación CTRL+F9.

Amos realizará el análisis y poblará el modelo con las estimaciones.

Regresión lineal múltiple con análisis de moderación en AMOS mostrando las estimaciones Figura 21: Modelo con estimaciones estandarizadas: ZREGULATION (.67) es el predictor más fuerte de ZRISK.

Resultados del análisis de moderación en AMOS

Una vez completado el análisis, navega a View → Text Output o simplemente presiona la tecla F10 en tu teclado para revisar los resultados del análisis de moderación.

En la ventana AMOS Output, haz clic en Estimates. Los efectos moderadores de la variable de interacción aparecerán bajo Regression Weights.

Tabla Regression Weights con los resultados del análisis de moderación en AMOS Figura 22: Tabla Regression Weights en AMOS Output mostrando los coeficientes, errores estándar y valores p.

Interpretación de los resultados del análisis de moderación

Antes de analizar los resultados, ten presente que AMOS es un software diseñado para otro tipo de análisis [Análisis Factorial Confirmatorio (CFA), Modelado de Ecuaciones Estructurales (SEM), Análisis de Trayectorias, etc.] y no es realmente el más adecuado para el análisis de moderación.

Si buscas encontrar los niveles de efectos condicionales del predictor focal, considera el análisis de moderación usando PROCESS Macro en SPSS como una solución más apropiada.

Observando la columna P, podemos ver que el efecto de interacción de la variable INTERACTION sobre ZRISK es 0.802 (P > 0.05), por lo tanto no es estadísticamente significativo. La probabilidad de obtener un critical ratio tan grande como 0.251 en valor absoluto es 0.802. En otras palabras, el peso de regresión de INTERACTION en la predicción de ZRISK no es significativamente diferente de cero al nivel 0.05 (bilateral).

De igual forma, ZINVESTMENT no tiene efecto sobre ZRISK, con un valor de 0.220 (P > 0.05), y por lo tanto tampoco es estadísticamente significativo. La probabilidad de obtener un critical ratio tan grande como 1.227 en valor absoluto es 0.220. Es decir, el peso de regresión de ZINVESTMENT en la predicción de ZRISK no es significativamente diferente de cero al nivel 0.05 (bilateral).

Sin embargo, podemos observar que la relación entre ZREGULATION y ZRISK es estadísticamente significativa (P < 0.05). En otras palabras, el peso de regresión de ZREGULATION en la predicción de ZRISK es significativamente diferente de cero al nivel 0.001 (bilateral).

En conclusión, el efecto de interacción de la regulación sobre el riesgo financiero no es estadísticamente significativo en este caso de estudio.

Ten en cuenta que en este ejemplo usamos un tamaño de muestra pequeño con valores ficticios con fines educativos. Un dataset más grande podría arrojar resultados diferentes.

Preguntas Frecuentes

Para finalizar

Realizar un análisis de moderación en AMOS es un proceso relativamente sencillo que nos ayuda a evaluar si una variable moderadora tiene un efecto sobre la relación entre una variable dependiente e independiente en la regresión.

Aunque AMOS es conocido principalmente por su uso en Modelado de Ecuaciones Estructurales (SEM), análisis factorial confirmatorio, covarianza y análisis de trayectorias, sus capacidades van más allá de estas funciones. Este tutorial es solo un ejemplo de ello.

Referencias

Aguinis, H. (2004). Regression analysis for categorical moderators. Guilford Press.

Lee este artículo en otros idiomas:

Análisis de Moderación en AMOS Paso a Paso [Guía Completa]