Acest tutorial pas cu pas îți arată cum să efectuezi analiza de moderare în AMOS Graphics folosind un studiu de caz practic cu date reale.
Vei învăța cum să standardizezi variabilele în SPSS, să calculezi termenii de interacțiune, să construiești modele de ecuații structurale în AMOS și să interpretezi rezultatele moderării. Analiza de moderare (numită și regresia multiplă moderată sau MMR) este o tehnică statistică care testează dacă o a treia variabilă afectează puterea sau direcția relației dintre variabilele tale independente și dependente.
Poți efectua analiza de moderare și folosind regresia Ordinary Least Squares (OLS) doar în SPSS. Totuși, dacă lucrezi cu modele AMOS, va trebui să standardizezi toate variabilele cantitative în SPSS mai întâi pentru a reduce problemele de multicoliniaritate.
Pentru a completa acest tutorial vei avea nevoie de SPSS Statistics și AMOS instalate pe computer.
Ce Este Analiza de Moderare?
Când cercetăm un fenomen particular care implică interacțiunea dintre două sau mai multe variabile, vrem să obținem rezultate relevante care se aplică lumii reale.
Deși mulți factori externi pot afecta modul în care două variabile se raportează, ar fi imposibil să le includem pe toate într-un singur studiu. Totuși, putem identifica acei factori cu relevanță ridicată pentru cazul nostru și să investigăm dacă au un efect sau moderează relația dintre două variabile.
În statistică, analiza de moderare se referă la procesul de testare a efectelor unei variabile moderatoare (Mo) asupra relației dintre o variabilă independentă (X) și o variabilă dependentă (Y).

Variabilele moderatoare, cunoscute și ca variabile de interacțiune, pot fi atât cantitative (valori numerice: vârstă, greutate, scor de test etc.) cât și calitative (valori non-numerice: gen, educație, statut social etc.).
Dacă variabilele din studiul tău sunt cantitative, ele trebuie calculate ca o medie centrată (media tuturor valorilor) înainte de a efectua analiza de moderare în AMOS. Acest lucru nu numai că facilitează interpretarea, dar reduce și potențialele probleme de multicoliniaritate cu modelul când sunt prezente multiple variabile.
Multicoliniaritatea poate face estimările foarte sensibile chiar și la cea mai mică schimbare în model din cauza creșterii varianței estimărilor coeficienților.
Analiza de Moderare în AMOS [Studiu de Caz]
Să presupunem că investigăm dacă reglementarea financiară are un efect moderator asupra relației dintre investiția financiară și risc.
În acest caz, reglementarea este variabila moderatoare (Mo), investiția este variabila independentă (X), iar riscul este variabila dependentă (Y). Cu alte cuvinte, vom investiga efectele moderatoare ale reglementării asupra relației dintre investiție și risc.

Pentru a urma acest tutorial, descarcă setul de date exemplu din bara laterală. Acesta este un set de date fictiv doar pentru scopuri educaționale.
Alternativ, poți folosi propriul set de date sau poți crea unul nou generând numere aleatorii în Excel și importând fișierul Excel în SPSS Statistics.
Importă Un Set de Date în SPSS
Înainte de a continua cu analiza de moderare în AMOS, trebuie să centrăm valorile medii pentru variabilele cantitative folosite în studiul nostru.
Dezarhivează și dă dublu-click pe fișierul exemplu brut SPSS (Moderator Analysis SPSS Sample.sav) descărcat anterior. Setul de date exemplu importat în SPSS ar trebui să arate ca în captura de mai jos.

Unde:
-
Financial1-3 sunt variabilele Investiție Financiară (cantitativ)
-
Risk1-3 sunt variabilele Risc Financiar (cantitativ)
-
Regulation1-2 sunt variabilele Reglementare Financiară (cantitativ)
-
INVESTMENT este variabila independentă (X) calculată din variabilele Financial1-3.
-
RISK este variabila dependentă (Y) calculată din variabilele Risk1-3.
-
REGULATION este variabila moderatoare (W) calculată din variabilele Regulation1-2.
De aici înainte, focusul nostru va fi doar pe variabilele calculate (INVESTMENT, RISK și REGULATION).
Pentru a importa propriul set de date în SPSS, în meniul de sus mergi la File → Import Data → Excel. În fereastra Open Data, navighează la locația unde se află fișierul Excel pe disc, selectează fișierul și dă click pe butonul Open.
Creează Valori Standardizate pentru Variabile în SPSS
Pentru a evita problemele de multicoliniaritate cu modelul, ar trebui să creăm valori standardizate pentru variabilele independente, dependente și moderatoare din exemplul nostru.
În meniul de sus SPSS Statistics, navighează la Analyze → Descriptive Statistics → Descriptives.
În fereastra Descriptives, mută variabilele INVESTMENT, RISK și REGULATION selectând fiecare variabilă în caseta din stânga și dând click pe butonul săgeată din centru pentru a o muta în dreapta.
Asigură-te că caseta Save standardized values as variables este bifată. Apasă butonul OK pentru a continua crearea valorilor standardizate pentru variabilele selectate.

Acest lucru va crea trei noi variabile standardizate respectiv ZINVESTMENT, ZRISK și ZREGULATION.

Calculează Valorile pentru Variabila de Interacțiune
În continuare, trebuie să calculăm valorile pentru variabila de interacțiune calculând produsul dintre variabila independentă și variabila moderatoare.
În meniul de sus SPSS, navighează la Transform → Compute Variable.
În fereastra Compute Variable:
[1] Tastează un nume (de ex., INTERACTION) în caseta Target Variable.
[2] Selectează variabila independentă (ZINVESTMENT) în caseta din stânga și folosește butonul săgeată pentru a o muta în caseta Numeric Expression.
[3] Dă click pe butonul înmulțire (*) din calculator.
[4] Adaugă variabila moderatoare (ZREGULATION) în caseta Numeric Expression.
[5] Dă click pe OK pentru a calcula variabila de interacțiune.
Iată o reprezentare grafică a acestor pași.

Reține că folosim doar variabile standardizate pentru a calcula variabila de interacțiune (moderator).
Salvează Un Set de Date în SPSS
Ultimul pas în SPSS este să salvăm munca noastră astfel încât toate variabilele noi să apară în AMOS. Pentru a face acest lucru, navighează la File → Save As, dă un nume noului set de date și dă click pe butonul Save.

Acum suntem gata să efectuăm o analiză de moderare în AMOS folosind setul nostru de date SPSS exemplu.
Importă Setul de Date SPSS în AMOS
Lansează Amos. Primul lucru pe care trebuie să îl facem este să importăm noul set de date SPSS în AMOS. Pentru a face acest lucru, dă click pe iconița Select Data File din panoul de iconițe.

În fereastra Data Files, dă click pe butonul File Name și navighează la locația unde ai salvat fișierul SPSS anterior (Pasul 4). Selectează fișierul și dă click pe Open.
Pentru a finaliza importul, dă click pe OK în fereastra Data Files.

Creează Un Model în AMOS
Pentru a crea modelul pentru studiul nostru de caz în AMOS, mai întâi, dă click pe iconița List variables in data set pentru a vizualiza toate variabilele din setul de date.

Trage și plasează variabilele independente, moderatoare și de interacțiune pe partea stângă a spațiului de lucru, iar variabila dependentă pe partea dreaptă similar cu modul în care este arătat în captura de mai jos. Nu te îngrijora de estetică deocamdată. Vom remedia asta într-un moment.

Stabilește Relația Cauză și Efect
Pentru a stabili relația cauză și efect între variabilele din studiul nostru, mai întâi, dă click pe iconița Draw paths (single-headed arrows).

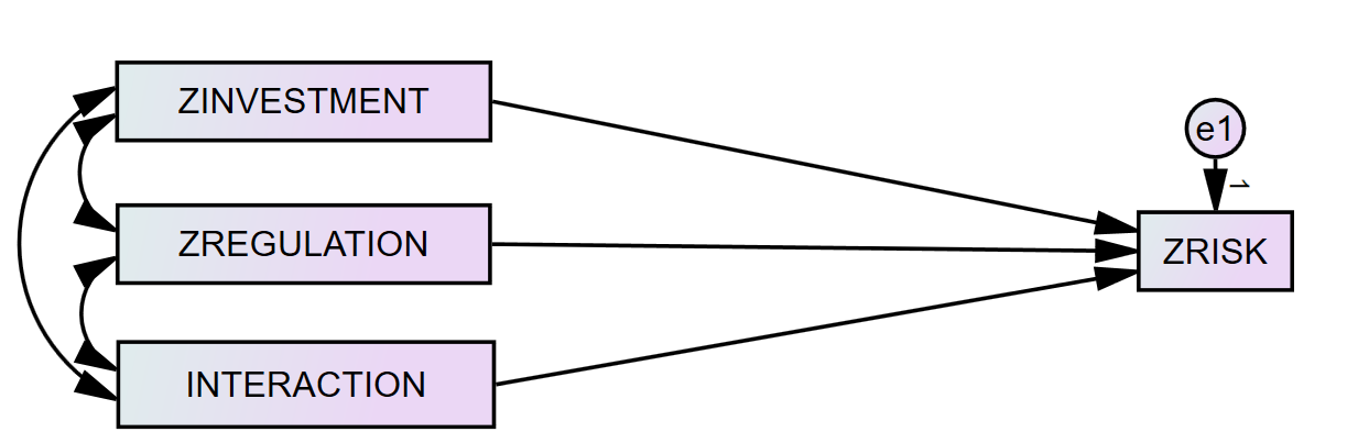
În acest exemplu, toate variabilele predictor care reprezintă cauza sunt localizate pe partea stângă în timp ce variabila prezisă efect este pe partea dreaptă a spațiului de lucru.
Desenează săgeți de la toți predictorii (ZINVESTMENT, ZREGULATION, INTERACTION) care indică spre variabila prezisă (ZRISK). Modelul pentru acest studiu de caz ar trebui să arate astfel în AMOS:

Stabilește Covarianța între Predictori
Covarianța este folosită pentru a determina relația dintre variabilele predictor din modelul nostru. În AMOS, pentru a stabili covarianța între predictori, mai întâi, dă click pe iconița Draw covariance (double-headed arrows).

În continuare, desenează covarianța între variabilele ZINVESTMENT, ZREGULATION și INTERACTION.

Adaugă Rezidual (Eroare) la Variabila Prezisă
Similar cu analiza OLS, reziduala (eroarea) este folosită pentru a arăta diferența dintre valoarea prezisă și valoarea reală observată. Cu alte cuvinte, cât de departe vertical sunt punctele de date de la linia de regresie.
Pentru a adăuga rezidual (eroare) în AMOS, selectează iconița Add a unique variable to an existing variable.

Dă click pe variabila prezisă (ZRISK).

În final, trebuie să adăugăm un nume pentru eroare. Cel mai simplu mod este să instruim SPSS să o numească navigând la Plugins → Name Unobserved Variables. SPSS a numit variabila reziduală în acest caz "e1" așa cum se vede mai jos.

Îmbunătățește-ți Modelul
Înainte de a continua cu analiza de moderare în Amos, să lucrăm la estetica diagramei tale. Amos ne oferă câteva instrumente accesibile prin panoul de iconițe și listate în diagrama următoare.

În majoritatea cazurilor, va trebui să muți obiecte, să schimbi forma obiectului, să dublezi obiecte și să ștergi obiecte.
Pentru a repara rapid o diagramă dezordonată, folosește instrumentul touch-up a variable (baghetă) și dă click pe toate formele din modelul tău. AMOS va alinia rapid totul și va face diagrama ta să arate mult mai bine.
Poți schimba culorile, dimensiunea fontului, stilul etc. prin fereastra Object Properties, care este accesibilă dând dublu-click pe orice obiect din spațiul de lucru.
Schimbă Proprietățile de Analiză pentru Fișierul de Output
Înainte de a continua cu efectul de moderare în AMOS, trebuie să schimbăm unele dintre proprietățile fișierului de output. Navighează la View → Analysis Properties, dă click pe tab-ul Output și marchează următoarele casete:
-
Minimization history
-
Standardized estimates
-
Squared multiple correlations

Închide fereastra Analysis Properties.
Salvează Modelul în AMOS
Pentru a salva modelul tău, mergi la File → Save As, tastează un nume de fișier și apasă butonul Save. Fișierul tău Amos va avea extensia .amw.
Rulează Analiza de Moderare în AMOS
În final, suntem gata să rulăm o analiză de moderare în AMOS. Pentru a continua, navighează la Analyze → Calculate Estimates sau pur și simplu apasă combinația CTRL+F9.
Amos va efectua analiza și va popula modelul cu estimări.

Rezultatele Analizei de Moderare în AMOS
Odată ce analiza este completată, navighează la View → Text Output sau pur și simplu apasă tasta F10 pe tastatură pentru a verifica rezultatele analizei de moderare.
În fereastra AMOS Output, dă click pe Estimates. Efectele moderatoare pentru variabila de interacțiune vor fi listate sub Regression Weights.

Interpretarea Rezultatelor Analizei de Moderare
Înainte de a ne scufunda în analiza rezultatelor, te rog să reții că AMOS este un software proiectat pentru alte tipuri de analiză [Confirmatory Factor Analysis (CFA), Structural Equation Modeling (SEM), Path Analysis etc.) și nu este cu adevărat potrivit pentru analiza de moderare.
Dacă vrei să găsești nivelurile efectelor condiționale ale predictorului focal, ia în considerare analiza de moderare folosind PROCESS Macro în SPSS ca o soluție mai potrivită.
Privind coloana P putem observa că efectul de interacțiune al variabilei INTERACTION asupra ZRISK este 0.802 (P > 0.05) prin urmare nu este semnificativ statistic. Probabilitatea de a obține un raport critic la fel de mare ca 0.251 în valoare absolută este 0.802. Cu alte cuvinte, greutatea de regresie pentru INTERACTION în predicția ZRISK nu este semnificativ diferită de zero la nivelul 0.05 (bilateral).
Similar, ZINVESTMENT nu are efect asupra ZRISK respectiv 0.220 (P > 0.05) și prin urmare nu este semnificativ statistic fie. Probabilitatea de a obține un raport critic la fel de mare ca 1.227 în valoare absolută este 0.220. Cu alte cuvinte, greutatea de regresie pentru ZINVESTMENT în predicția ZRISK nu este semnificativ diferită de zero la nivelul 0.05 (bilateral).
Totuși, putem vedea că relația dintre ZREGULATION și ZRISK este semnificativă statistic (P < 0.05). Cu alte cuvinte, greutatea de regresie pentru ZREGULATION în predicția ZRISK este semnificativ diferită de zero la nivelul 0.001 (bilateral).
În concluzie, efectul de interacțiune al reglementării asupra riscului financiar nu este semnificativ statistic în acest studiu de caz.
Reține că în acest exemplu folosim o dimensiune mică a eșantionului cu valori fictive doar pentru scopuri educaționale. Un set de date mai mare ar putea furniza rezultate diferite.
Întrebări Frecvente
Concluzie
Efectuarea unei analize de moderare în AMOS este un proces relativ simplu care ne ajută să testăm dacă o variabilă de moderare are un efect asupra relației dintre o variabilă dependentă și una independentă în regresie.
Deși AMOS este cunoscut în principal pentru utilizarea sa în Structural Equation Modeling (SEM), confirmatory factor analysis, covariance și path analysis, puterile sale merg mult dincolo de faima sa. Această lecție este doar un astfel de exemplu.
Referințe
Aguinis, H. (2004). Regression analysis for categorical moderators. Guilford Press.