การเลือกหัวข้อวิทยานิพนธ์หรืองานวิจัยต้องสมดุลระหว่างความสนใจส่วนบุคคล การมีส่วนร่วมทางวิชาการ และความเป็นไปได้ในทางปฏิบัติภายในกรอบเวลาที่กำหนด คู่มือนี้นำเสนอ 5 ไอเดียงานวิจัยเชิงปริมาณ (Quantitative Research) แบบครบถ้วนที่ออกแบบมาเพื่อช่วยให้คุณพัฒนาพื้นฐานการวิจัยที่แข็งแกร่ง
แต่ละไอเดียงานวิจัยประกอบด้วยองค์ประกอบที่ครบถ้วน ได้แก่ คำถามวิจัย สมมติฐาน ตัวแปร วิธีการวิจัย วิธีการวิเคราะห์ข้อมูล และแนวทางการแปลผล ตัวอย่างทั้งหมดเรียงลำดับจากความสัมพันธ์แบบสองตัวแปรง่ายๆ ไปจนถึงการวิเคราะห์ Mediation และ Moderation ที่ซับซ้อน ช่วยให้คุณสามารถเลือกแบบที่เหมาะกับระดับประสบการณ์และความสนใจในการวิจัยของคุณ
ตัวอย่างทั้ง 5 แบบใช้ Stratified Sampling เป็นวิธีการสุ่มตัวอย่างหลัก หากคุณต้องการทำความเข้าใจเทคนิคนี้ โปรดอ่านคู่มือของเราเกี่ยวกับ Stratified Sampling ก่อนดำเนินการต่อ
ไอเดีย 1: คุณภาพการนอนหลับและผลการเรียน
การนอนหลับเป็นปัจจัยสำคัญในความเป็นอยู่ที่ดีของนักศึกษาที่มักได้รับความสนใจไม่เพียงพอในช่วงเวลาการศึกษา ไอเดียงานวิจัยนี้ตรวจสอบความสัมพันธ์โดยตรงระหว่างคุณภาพการนอนหลับและผลการเรียนในหมู่นักศึกษาระดับปริญญาตรี
คำถามวิจัย
"คุณภาพการนอนหลับมีอิทธิพลต่อผลการเรียนของนักศึกษาระดับปริญญาตรีอย่างไร?"
สมมติฐาน
H1: คุณภาพการนอนหลับที่ดีขึ้นมีความสัมพันธ์เชิงบวกกับผลการเรียนที่ดีขึ้น
H2: การนอนหลับตามตารางเวลาที่สม่ำเสมอนำไปสู่เกรดที่สูงกว่าเมื่อเทียบกับรูปแบบการนอนที่ไม่สม่ำเสมอ
ตัวแปรในการวิจัย
การศึกษานี้ตรวจสอบตัวแปรหลักสองตัว:
Independent Variable (X):
- คุณภาพการนอนหลับ (วัดจากระยะเวลาการนอน ระยะเวลาก่อนหลับ ประสิทธิภาพการนอน และการรบกวนการนอน)
Dependent Variable (Y):
- ผลการเรียน (วัดจาก GPA และคะแนนสอบ)

รูปที่ 1: แผนภาพแสดงเส้นทางสำหรับไอเดียงานวิจัยที่ 1 (สองตัวแปร)
วิธีการวิจัย
ประชากรและขนาดตัวอย่าง: นักศึกษาระดับปริญญาตรี 300 คนจากสาขาวิชาต่างๆ ขนาดตัวอย่างนี้ให้อำนาจทางสถิติที่เพียงพอและลดความเสี่ยงของ Type II Error ในขณะที่รับประกันความหลากหลายในสาขาวิชาการต่างๆ
เครื่องมือวิจัย:
คุณภาพการนอนหลับ: ใช้ Pittsburgh Sleep Quality Index (PSQI) ซึ่งเป็นเครื่องมือที่ผ่านการตรวจสอบความตรง ประเมินการนอนหลับในช่วงเดือนที่ผ่านมาโดยใช้ Likert Scale ตั้งแต่ 0 ถึง 3 เครื่องมือนี้วัด 7 องค์ประกอบ: คุณภาพการนอนหลับตามความรู้สึกส่วนตัว ระยะเวลาก่อนหลับ ระยะเวลาการนอน ประสิทธิภาพการนอนตามปกติ การรบกวนการนอน การใช้ยานอนหลับ และภาวะทำงานในเวลากลางวันบกพร่อง
ผลการเรียน: เก็บรวบรวมข้อมูล GPA และคะแนนสอบจากบันทึกของมหาวิทยาลัยหรือข้อมูลที่รายงานตนเองที่ผ่านการตรวจสอบแล้ว บันทึกของมหาวิทยาลัยให้ข้อมูลที่เชื่อถือได้มากกว่าเมื่อเข้าถึงได้
ขั้นตอนการเก็บรวบรวมข้อมูล: แจกแบบสอบถามสองครั้งต่อภาคการศึกษา (ช่วงต้นและช่วงปลาย) เพื่อจับการเปลี่ยนแปลงตามเวลา เก็บข้อมูลผลการเรียนหลังจากเกรดสุดท้ายประกาศอย่างเป็นทางการเพื่อความแม่นยำ
ข้อควรพิจารณาด้านจริยธรรม: ผู้เข้าร่วมทุกคนลงนามในแบบฟอร์มยินยอมโดยทราบข้อมูล (Informed Consent) ที่อธิบายวัตถุประสงค์ของการศึกษา สิทธิในการรักษาความลับและไม่ระบุตัวตน และความสามารถในการถอนตัวได้ทุกเวลาโดยไม่มีผลกระทบ
การวิเคราะห์ข้อมูล
ดำเนินการวิเคราะห์ต่อไปนี้โดยใช้ SPSS หรือ R:
สถิติเชิงพรรณนา (Descriptive Statistics): คำนวณค่าเฉลี่ย ค่าเบี่ยงเบนมาตรฐาน และช่วงของตัวแปรทั้งหมดเพื่อสร้างลักษณะพื้นฐานของกลุ่มตัวอย่าง
การวิเคราะห์สหสัมพันธ์ (Correlation Analysis): ทำ Pearson Correlation เพื่อประเมินความแข็งแกร่งและทิศทางของความสัมพันธ์ระหว่างคุณภาพการนอนหลับและผลการเรียน
การวิเคราะห์ Regression: ใช้ Simple Linear Regression เพื่อกำหนดขอบเขตที่คุณภาพการนอนหลับทำนายผลการเรียนและหาค่าความแปรปรวนที่อธิบายได้
ผลลัพธ์ที่คาดหวัง:
วรรณกรรมก่อนหน้านี้ชี้ให้เห็นความสัมพันธ์เชิงบวกระหว่างคุณภาพการนอนหลับและผลลัพธ์ทางวิชาการ ตัวชี้วัดหลักที่ต้องตรวจสอบ:
| ตัวชี้วัด | ค่า | การตีความ |
|---|---|---|
| Pearson Correlation | r = 0.XX | ความแข็งแกร่งและทิศทางของความสัมพันธ์ระหว่างคุณภาพการนอนหลับและเกรด |
| P-value | p = 0.XXX | นัยสำคัญทางสถิติ ค่าต่ำกว่า 0.05 บ่งชี้ความสัมพันธ์ที่มีนัยสำคัญ |
| R-squared (R²) | R² = 0.XX | สัดส่วนความแปรปรวนในเกรดที่อธิบายได้โดยคุณภาพการนอนหลับ |
ตารางที่ 1: ตัวชี้วัดสถิติหลักสำหรับไอเดียงานวิจัยที่ 1 (คุณภาพการนอนหลับกับผลการเรียน)
การตีความผลลัพธ์
ในส่วน Discussion ของคุณ เริ่มต้นด้วยการสรุปค่าที่พบเกี่ยวกับวิธีที่คุณภาพการนอนหลับส่งผลต่อผลการเรียน อธิบายทั้งนัยสำคัญทางสถิติและนัยสำคัญในทางปฏิบัติของผลลัพธ์
อภิปรายความหมายในทางปฏิบัติสำหรับนโยบายมหาวิทยาลัยและบริการสนับสนุนนักศึกษา ตัวอย่างเช่น สถาบันอาจใช้ผลการค้นพบเหล่านี้เพื่อพัฒนาโปรแกรมให้ความรู้เกี่ยวกับการนอนหลับหรือปรับตารางเวลาทางวิชาการเพื่อส่งเสริมรูปแบบการนอนที่ดีต่อสุขภาพได้อย่างไร
เปรียบเทียบผลลัพธ์ของคุณกับวรรณกรรมที่มีอยู่เพื่อนำผลการค้นพบไปสู่บริบทในภูมิทัศน์การวิจัยที่กว้างขึ้น ยอมรับข้อจำกัด เช่น การพึ่งพาข้อมูลที่รายงานตนเอง และเสนอแนะทิศทางการวิจัยในอนาคต รวมถึงการใช้อุปกรณ์ติดตามการนอนแบบวัตถุประสงค์หรือการออกแบบตามยาว (Longitudinal Design) เพื่อสร้างลำดับเวลา
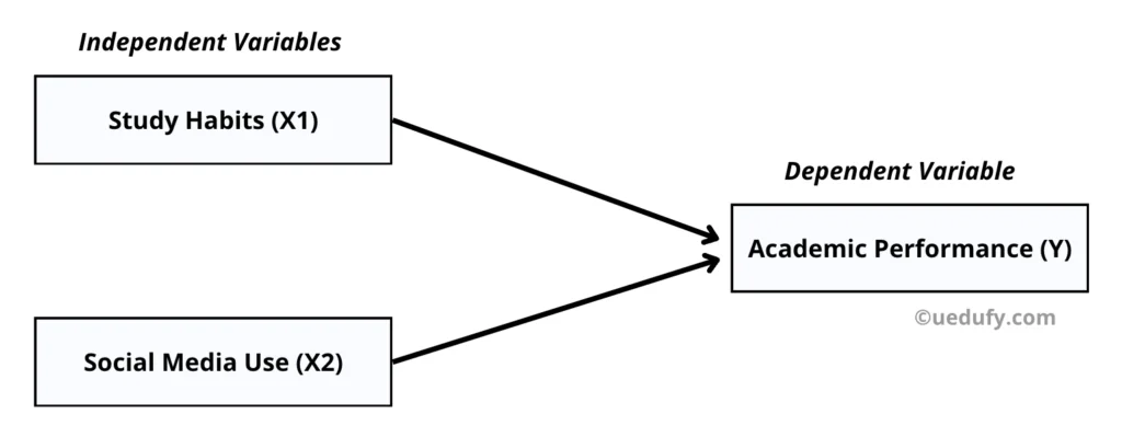
ไอเดีย 2: นิสัยการเรียนและการใช้ Social Media ต่อผลการเรียน
การแพร่หลายของ Social Media ได้เปลี่ยนแปลงวิธีการที่นักศึกษาจัดการเวลาและความสนใจอย่างพื้นฐาน ไอเดียงานวิจัยนี้ตรวจสอบผลรวมของนิสัยการเรียนและการใช้ Social Media ต่อผลลัพธ์ทางวิชาการ โดยนำตัวแปรทำนายหลายตัวมาใช้
คำถามวิจัย
"ผลรวมของนิสัยการเรียนและการใช้ Social Media ต่อผลการเรียนของนักศึกษาคืออะไร?"
สมมติฐาน
H1: นิสัยการเรียนที่ดีมีความสัมพันธ์เชิงบวกกับผลการเรียน
H2: การใช้ Social Media สูงมีความสัมพันธ์เชิงลบกับผลการเรียน
ตัวแปรในการวิจัย
การศึกษานี้ตรวจสอบสามตัวแปร:
Independent Variables (X):
- นิสัยการเรียน (ความถี่ ระยะเวลา และประสิทธิผลของการเรียน)
- การใช้ Social Media (เวลาต่อวันที่ใช้บน Social Media)
Dependent Variable (Y):
- ผลการเรียน (GPA และคะแนนสอบ)

รูปที่ 2: แผนภาพแสดงเส้นทางสำหรับไอเดียงานวิจัยที่ 2 (สามตัวแปร)
วิธีการวิจัย
ประชากรและขนาดตัวอย่าง: นักศึกษา 400 คนจากคณะต่างๆ เพื่อให้มั่นใจในความหลากหลายในสาขาวิชาการและข้อกำหนดการศึกษาที่แตกต่างกัน
เครื่องมือวิจัย: พัฒนาแบบสอบถามที่ครอบคลุมสามส่วน:
นิสัยการเรียน: คำถามประเมินความถี่การเรียน ระยะเวลา เทคนิคที่ใช้ และความสม่ำเสมอของตารางการเรียน
การใช้ Social Media: คำถามวัดระยะเวลาการใช้รายวัน แพลตฟอร์มที่ใช้ และวัตถุประสงค์ในการใช้ (ความบันเทิง การศึกษา การเชื่อมต่อทางสังคม)
ผลการเรียน: เก็บรวบรวมจากบันทึกมหาวิทยาลัยเมื่อเป็นไปได้ หรือใช้รายงานตนเองที่ผ่านการตรวจสอบพร้อมเอกสาร GPA
ขั้นตอนการเก็บรวบรวมข้อมูล: จัดแบบสอบถามสองช่วงเวลา (ต้นภาคและปลายภาค) เพื่อจับการเปลี่ยนแปลงและสร้างความสัมพันธ์ตามเวลา วิธีการนี้ช่วยควบคุมความแปรผันตามฤดูกาลในรูปแบบการเรียน
ข้อควรพิจารณาด้านจริยธรรม: เตรียมแบบฟอร์ม Informed Consent ที่ครอบคลุมอธิบายวัตถุประสงค์การศึกษา มาตรการความเป็นส่วนตัวของข้อมูล การปกป้องความลับ และสิทธิของผู้เข้าร่วมในการถอนตัวโดยไม่มีบทลงโทษ
การวิเคราะห์ข้อมูล
ใช้ SPSS หรือ R ดำเนินการ:
สถิติเชิงพรรณนา: สรุปแนวโน้มกลางและความแปรปรวนสำหรับเวลาการเรียน การใช้ Social Media และผลการเรียน
Multiple Linear Regression: ตรวจสอบว่านิสัยการเรียนและการใช้ Social Media ทำนายผลการเรียนพร้อมกันอย่างไร การวิเคราะห์นี้เปิดเผยการมีส่วนร่วมเฉพาะของตัวทำนายแต่ละตัวในขณะที่ควบคุมอีกตัวหนึ่ง
ทำตามคู่มือ Multiple Linear Regression ของเราสำหรับขั้นตอนการดำเนินการโดยละเอียด
ผลลัพธ์ที่คาดหวัง:
นิสัยการเรียนควรแสดงผลเชิงบวกต่อเกรด ในขณะที่การใช้ Social Media อาจแสดงผลเชิงลบ ตัวชี้วัดหลักที่ต้องตรวจสอบ:
| ตัวชี้วัด | ค่า | การตีความ |
|---|---|---|
| Regression Coefficient (นิสัยการเรียน) | β = 0.XX | ผลกระทบของนิสัยการเรียนต่อผลการเรียน |
| Regression Coefficient (Social Media) | β = 0.XX | ผลกระทบของการใช้ Social Media ต่อผลการเรียน |
| P-value | p = 0.XXX | นัยสำคัญทางสถิติ ต่ำกว่า 0.05 บ่งชี้ผลกระทบที่มีนัยสำคัญ |
| R-squared (R²) | R² = 0.XX | ความแปรปรวนในเกรดที่อธิบายได้โดยตัวทำนายทั้งสองรวมกัน |
ตารางที่ 2: ตัวชี้วัดสถิติหลักสำหรับไอเดียงานวิจัยที่ 2 (นิสัยการเรียนและ Social Media กับผลการเรียน)
การตีความผลลัพธ์
ในส่วน Discussion ของคุณ อธิบายว่านิสัยการเรียนและการใช้ Social Media มีอิทธิพลร่วมกันต่อผลลัพธ์ทางวิชาการอย่างไร พิจารณาว่าผลกระทบเป็นอิสระหรือมีปฏิสัมพันธ์กันในลักษณะที่มีความหมาย
สำรวจว่านักศึกษาที่มีนิสัยการเรียนที่ดีแสดงความต้านทานที่มากขึ้นต่อสิ่งรบกวนจาก Social Media หรือไม่ ตระหนักว่าการใช้ Social Media ไม่ทั้งหมดเป็นอันตราย นักศึกษาบางคนใช้แพลตฟอร์มเหล่านี้อย่างมีประสิทธิภาพสำหรับกลุ่มเรียน เนื้อหาการศึกษา และความร่วมมือทางวิชาการ
เปรียบเทียบผลการค้นพบกับงานวิจัยก่อนหน้านี้และยอมรับข้อจำกัด รวมถึงข้อมูลที่รายงานตนเองและลักษณะความสัมพันธ์ของการออกแบบ เสนอแนะทิศทางในอนาคต เช่น การศึกษาตามยาวเพื่อสร้างความเป็นเหตุเป็นผล หรือการตรวจสอบแพลตฟอร์ม Social Media เฉพาะแยกกันเพื่อระบุผลที่แตกต่างกัน
คำนวณขนาดตัวอย่างของคุณ
ใช้เครื่องคำนวณฟรีของเราเพื่อกำหนดขนาดตัวอย่างที่ต้องการ โดยใช้ Yamane, Cochran และ Krejcie & Morgan เปรียบเทียบทั้งสามวิธีพร้อมการอ้างอิง APA
ลองใช้เครื่องคำนวณไอเดีย 3: สภาพแวดล้อมการเรียนและเวลาเรียนพร้อม Control Variables
ไอเดียงานวิจัยนี้เพิ่มความซับซ้อนทางระเบียบวิธีโดยรวม Control Variables เข้ามา คุณจะตรวจสอบว่าสภาพแวดล้อมการเรียนและเวลาเรียนส่งผลต่อผลลัพธ์ทางวิชาการอย่างไรในขณะที่คำนึงถึงปัจจัยรบกวนที่อาจเกิดขึ้น
คำถามวิจัย
"สภาพแวดล้อมการเรียนและเวลาที่ใช้ในการเรียนมีอิทธิพลต่อความสำเร็จทางวิชาการอย่างไรเมื่อควบคุมสาขาวิชาของนักศึกษาและผลการเรียนก่อนหน้านี้?"
สมมติฐาน
H1: สภาพแวดล้อมการเรียนที่สนับสนุนมีความสัมพันธ์เชิงบวกกับผลการเรียน
H2: เวลาในการเรียนที่มากขึ้นมีความสัมพันธ์เชิงบวกกับผลการเรียน
ตัวแปรในการวิจัย
การศึกษานี้ตรวจสอบห้าตัวแปร:
Independent Variables (X):
- สภาพแวดล้อมการเรียน (คุณภาพและความเหมาะสมของสถานที่เรียน)
- เวลาที่ใช้ในการเรียน (ชั่วโมงต่อสัปดาห์ที่อุทิศให้กับงานทางวิชาการ)
Dependent Variable (Y):
- ผลการเรียน (GPA ปัจจุบันและคะแนนสอบ)
Control Variables (C):
- สาขาวิชาของนักศึกษา (คำนึงถึงความแตกต่างของความยากในสาขาวิชาการต่างๆ)
- ผลการเรียนก่อนหน้านี้ (GPA พื้นฐานควบคุมความสามารถทางวิชาการที่มีอยู่)

รูปที่ 3: แผนภาพแสดงเส้นทางสำหรับไอเดียงานวิจัยที่ 3 (พร้อม Control Variables)
วิธีการวิจัย
ประชากรและขนาดตัวอย่าง: นักศึกษาระดับปริญญาตรี 500 คนจากสาขาวิชาต่างๆ สุ่มผ่าน Stratified Sampling เพื่อให้มั่นใจในการเป็นตัวแทนตามสัดส่วนในสาขาวิชาต่างๆ
เครื่องมือวิจัย:
สภาพแวดล้อมการเรียนและเวลาเรียน: แบบสอบถามพร้อม Likert Scale ประเมินคุณภาพสถานที่เรียน ระดับเสียง แสงสว่าง และความสบาย รวมบันทึกการเรียนที่ติดตามชั่วโมงการเรียนรายสัปดาห์
ผลการเรียน: ใช้บันทึกอย่างเป็นทางการของมหาวิทยาลัยเมื่อเข้าถึงได้ เสริมด้วยรายงานตนเองที่ผ่านการตรวจสอบ
ขั้นตอนการเก็บรวบรวมข้อมูล: ส่งแบบสอบถามออนไลน์ในช่วงต้นภาคการศึกษาและที่จุดกึ่งกลาง เก็บเกรดสุดท้ายในตอนปลายภาคเพื่อจับช่วงเวลาทางวิชาการที่สมบูรณ์
ข้อควรพิจารณาด้านจริยธรรม: ผู้เข้าร่วมทุกคนลงนามในแบบฟอร์ม Informed Consent พร้อมรายละเอียดที่ชัดเจนเกี่ยวกับวัตถุประสงค์การศึกษา มาตรการการจัดเก็บและปกป้องข้อมูล และสิทธิในการถอนตัว
การวิเคราะห์ข้อมูล
ใช้ SPSS หรือ R:
สถิติเชิงพรรณนา: สรุปตัวแปรทั้งหมดเพื่อระบุรูปแบบและการกระจาย
Multiple Linear Regression พร้อม Control Variables: ประเมินว่าสภาพแวดล้อมการเรียนและเวลาเรียนทำนายเกรดอย่างไร ในขณะที่ควบคุมสาขาวิชาและผลการเรียนก่อนหน้าทางสถิติ วิธีการนี้แยกผลเฉพาะของตัวทำนายหลักของคุณ
ผลลัพธ์ที่คาดหวัง:
ทั้งสภาพแวดล้อมการเรียนและเวลาเรียนควรทำนายผลลัพธ์ทางวิชาการเชิงบวก แม้ในขณะที่ควบคุมสาขาวิชาและความสามารถพื้นฐาน:
| ตัวชี้วัด | ค่า | การตีความ |
|---|---|---|
| Regression Coefficient (สภาพแวดล้อมการเรียน) | β = 0.XX | ผลกระทบของสภาพแวดล้อมการเรียนต่อผลการเรียน |
| Regression Coefficient (เวลาเรียน) | β = 0.XX | ผลกระทบของชั่วโมงการเรียนต่อผลการเรียน |
| P-value | p = 0.XXX | นัยสำคัญทางสถิติ ต่ำกว่า 0.05 บ่งชี้ผลกระทบที่มีนัยสำคัญ |
| R-squared (R²) | R² = 0.XX | ความแปรปรวนในเกรดที่อธิบายได้โดยโมเดลสมบูรณ์ |
ตารางที่ 3: ตัวชี้วัดสถิติหลักสำหรับไอเดียงานวิจัยที่ 3 (สภาพแวดล้อมการเรียนและเวลาเรียน)
การตีความผลลัพธ์
ในส่วน Discussion ของคุณ นำเสนอว่าสภาพแวดล้อมการเรียนและเวลาเรียนส่งผลต่อเกรดอย่างไรในขณะที่พิจารณาสาขาวิชาของนักศึกษาและผลการเรียนก่อนหน้านี้ อภิปรายสิ่งที่ผลการค้นพบเหล่านี้หมายถึงสำหรับระบบสนับสนุนการศึกษาและบริการนักศึกษา
เปรียบเทียบกับวรรณกรรมที่มีอยู่และเน้นผลการค้นพบที่ไม่คาดคิด ยอมรับข้อจำกัด เช่น การออกแบบความสัมพันธ์และปัจจัยรบกวนที่ไม่ได้วัด เสนอแนะทิศทางการวิจัยในอนาคต รวมถึงการตรวจสอบประเภทเฉพาะของสภาพแวดล้อมการเรียน (ห้องสมุดเทียบกับบ้านเทียบกับร้านกาแฟ) หรือการสืบสวนระยะเวลาการเรียนที่เหมาะสม
ไอเดีย 4: สุขภาพจิตเป็น Mediator ระหว่างกิจกรรมทางกายและความสำเร็จทางวิชาการ
ไอเดียงานวิจัยนี้นำเสนอการวิเคราะห์ Mediation ตรวจสอบว่าสุขภาพจิตอธิบายกลไกที่กิจกรรมทางกายมีอิทธิพลต่อผลการเรียนหรือไม่
คำถามวิจัย
"สุขภาพจิตเป็น Mediator ของความสัมพันธ์ระหว่างกิจกรรมทางกายและความสำเร็จทางวิชาการในนักศึกษาระดับปริญญาตรีหรือไม่?"
สมมติฐาน
H1: กิจกรรมทางกายสม่ำเสมอส่งผลเชิงบวกต่อสุขภาพจิต
H2: สุขภาพจิตที่ดีขึ้นส่งผลเชิงบวกต่อผลการเรียน
H3: สุขภาพจิตเป็น Mediator ของความสัมพันธ์ระหว่างกิจกรรมทางกายและผลการเรียน
ตัวแปรในการวิจัย
Independent Variable (X):
- กิจกรรมทางกาย (ความถี่ ระยะเวลา และความเข้มข้นของการออกกำลังกาย)
Dependent Variable (Y):
- ผลการเรียน (GPA และคะแนนสอบ)
Mediator Variable (M):
- สุขภาพจิต (ประเมินโดยใช้มาตรวัดที่ผ่านการตรวจสอบซึ่งวัดความเครียด ความวิตกกังวล ภาวะซึมเศร้า และความเป็นอยู่โดยรวม)

รูปที่ 4: แผนภาพแสดงเส้นทางสำหรับไอเดียงานวิจัยที่ 4 (Mediation Analysis)
วิธีการวิจัย
ประชากรและขนาดตัวอย่าง: นักศึกษาระดับปริญญาตรี 400 คนที่มีระดับกิจกรรมทางกายที่แตกต่างกันเพื่อให้มั่นใจในความแปรปรวนที่เพียงพอในตัวแปรอิสระ
เครื่องมือวิจัย:
กิจกรรมทางกาย: แบบสำรวจวัดปริมาณประเภทการออกกำลังกาย (แอโรบิก การฝึกความแข็งแรง กีฬา) ระยะเวลารายสัปดาห์ และระดับความเข้มข้นโดยใช้มาตรวัดมาตรฐาน
สุขภาพจิต: ใช้เครื่องมือทางจิตวิทยาที่ผ่านการตรวจสอบ เช่น Depression Anxiety Stress Scales (DASS-21) หรือ General Health Questionnaire (GHQ-12) เพื่อวัดความเป็นอยู่ทางจิตใจ
ผลการเรียน: การรวมกันของบันทึกอย่างเป็นทางการของมหาวิทยาลัยและข้อมูลที่รายงานตนเองที่ผ่านการตรวจสอบ
ขั้นตอนการเก็บรวบรวมข้อมูล: แจกแบบสอบถามออนไลน์ในช่วงต้นภาคการศึกษาและทำการประเมินติดตามในขณะที่ภาคการศึกษาดำเนินไป เก็บเกรดสุดท้ายในตอนปลายภาคเพื่อจับช่วงเวลาทางวิชาการที่สมบูรณ์ ใช้ Likert Scale สำหรับความถี่กิจกรรมทางกายและการประเมินสุขภาพจิต
ข้อควรพิจารณาด้านจริยธรรม: ผู้เข้าร่วมทุกคนลงนามในแบบฟอร์ม Informed Consent ก่อนเข้าร่วม เนื่องจากลักษณะที่ละเอียดอ่อนของข้อมูลสุขภาพจิต ให้มั่นใจในการปกป้องความลับที่แข็งแกร่งและจัดหาทรัพยากรสุขภาพจิตให้กับผู้เข้าร่วมที่อาจต้องการการสนับสนุน
การวิเคราะห์ข้อมูล
ใช้ SPSS หรือ R:
สถิติเชิงพรรณนา: สร้างลักษณะพื้นฐานสำหรับตัวแปรทั้งหมด
Mediation Analysis: ทดสอบว่าสุขภาพจิตเป็น Mediator ของความสัมพันธ์ระหว่างกิจกรรมทางกายและผลการเรียนหรือไม่ ซึ่งรวมถึงการตรวจสอบ:
- ผลกระทบของกิจกรรมทางกายต่อสุขภาพจิต (path a)
- ผลกระทบของสุขภาพจิตต่อผลการเรียน (path b)
- ผลกระทบทางตรงของกิจกรรมทางกายต่อผลการเรียน (path c')
- ผลกระทบทางอ้อมผ่านสุขภาพจิต (path a × b)
เรียนรู้ขั้นตอนโดยละเอียดในคู่มือ Mediation Analysis ใน SPSS ของเรา
ผลลัพธ์ที่คาดหวัง:
สุขภาพจิตควรอธิบายส่วนสำคัญของวิธีการที่กิจกรรมทางกายแปลงเป็นความสำเร็จทางวิชาการ:
| ตัวชี้วัด | ค่า | การตีความ |
|---|---|---|
| ผลกระทบของกิจกรรมทางกายต่อสุขภาพจิต (a) | β = 0.XX | การออกกำลังกายมีอิทธิพลต่อความเป็นอยู่ทางจิตใจอย่างไร |
| ผลกระทบของสุขภาพจิตต่อผลการเรียน (b) | β = 0.XX | สุขภาพจิตส่งผลกระทบต่อเกรดอย่างไร |
| Indirect Effect (a × b) | β = 0.XX | เส้นทางคั่นกลางจากกิจกรรมทางกายผ่านสุขภาพจิตไปยังเกรด |
| Direct Effect (c') | β = 0.XX | ผลกระทบทางตรงที่เหลืออยู่ของกิจกรรมทางกายต่อเกรด |
| P-value | p = 0.XXX | นัยสำคัญทางสถิติ ต่ำกว่า 0.05 บ่งชี้ผลกระทบที่มีนัยสำคัญ |
ตารางที่ 4: ตัวชี้วัดสถิติหลักสำหรับไอเดียงานวิจัยที่ 4 (สุขภาพจิตเป็นตัวกลางระหว่างกิจกรรมทางกายและผลการเรียน)
การตีความผลลัพธ์
ในส่วน Discussion ของคุณ อธิบายว่างิจกรรมทางกายมีอิทธิพลต่อผลลัพธ์ทางวิชาการผ่านผลกระทบต่อสุขภาพจิตอย่างไร การวิเคราะห์เส้นทางนี้สามารถให้ข้อมูลแก่โปรแกรมสุขภาพของมหาวิทยาลัยและกลยุทธ์การสนับสนุนทางวิชาการ
เปรียบเทียบกับงานวิจัยที่มีอยู่เกี่ยวกับเส้นทางกิจกรรมทางกาย สุขภาพจิต และผลการเรียน อภิปรายว่าสุขภาพจิตเป็นตัวคั่นกลางความสัมพันธ์อย่างเต็มที่หรือบางส่วน แก้ไขผลการค้นพบที่ไม่คาดคิดและสำรวจความหมายในทางปฏิบัติสำหรับนโยบายสุขภาพในมหาวิทยาลัยและบริการสนับสนุนนักศึกษา
ยอมรับข้อจำกัด รวมถึงการออกแบบความสัมพันธ์ (ซึ่งไม่สามารถสร้างความเป็นเหตุเป็นผลได้อย่างแน่นอน) และข้อผิดพลาดการวัดที่อาจเกิดขึ้นในกิจกรรมทางกายที่รายงานตนเอง เสนอแนะการวิจัยในอนาคตที่สำรวจตัวคั่นกลางที่อาจเกิดขึ้นอื่นๆ เช่น คุณภาพการนอนหลับ การสนับสนุนทางสังคม หรือความเชื่อมั่นในตนเอง
คำนวณขนาดตัวอย่างของคุณ
ใช้เครื่องคำนวณฟรีของเราเพื่อกำหนดขนาดตัวอย่างที่ต้องการ โดยใช้ Yamane, Cochran และ Krejcie & Morgan เปรียบเทียบทั้งสามวิธีพร้อมการอ้างอิง APA
ลองใช้เครื่องคำนวณไอเดีย 5: ทักษะการเรียนเป็น Moderator ระหว่างสภาพแวดล้อมห้องเรียนและผลสัมฤทธิ์
ไอเดียงานวิจัยสุดท้ายนี้ใช้การวิเคราะห์ Moderation เพื่อตรวจสอบว่าทักษะการเรียนเปลี่ยนความแข็งแกร่งหรือทิศทางของความสัมพันธ์ระหว่างสภาพแวดล้อมห้องเรียนและผลสัมฤทธิ์ของนักศึกษาหรือไม่
คำถามวิจัย
"ทักษะการเรียนเป็น Moderator ของผลกระทบของสภาพแวดล้อมห้องเรียนต่อผลสัมฤทธิ์ของนักศึกษาหรือไม่?"
สมมติฐาน
H1: สภาพแวดล้อมห้องเรียนเชิงบวกเพิ่มผลสัมฤทธิ์ของนักศึกษา
H2: ผลกระทบนี้แข็งแกร่งกว่าสำหรับนักศึกษาที่มีทักษะการเรียนที่ดีกว่า (Moderation Effect)
ตัวแปรในการวิจัย
Independent Variable (X):
- สภาพแวดล้อมห้องเรียน (คุณภาพ การสนับสนุน และความเหมาะสมของพื้นที่การเรียนรู้)
Dependent Variable (Y):
- ผลสัมฤทธิ์ของนักศึกษา (เกรดรายวิชาและคะแนนสอบ)
Moderator Variable (Z):
- ทักษะการเรียน (การจัดการเวลา การจดบันทึก การประมวลผลข้อมูล และความสามารถในการเรียนรู้ที่ควบคุมตนเอง)

รูปที่ 5: แผนภาพแสดงเส้นทางสำหรับไอเดียงานวิจัยที่ 5 (Moderation Analysis)
วิธีการวิจัย
ประชากรและขนาดตัวอย่าง: นักศึกษา 450 คนจากคณะต่างๆ เพื่อให้มั่นใจในผลการค้นพบที่หลากหลายในสาขาวิชาการที่มีข้อกำหนดที่แตกต่างกัน
เครื่องมือวิจัย:
สภาพแวดล้อมห้องเรียน: แบบสำรวจประเมินความสะดวกสบายทางกายภาพ การสนับสนุนของผู้สอน คุณภาพการโต้ตอบระหว่างเพื่อน และโอกาสในการมีส่วนร่วมในชั้นเรียน
ทักษะการเรียน: แบบสำรวจวัดความสามารถในการจัดระเบียบ กลยุทธ์การเรียนรู้ ประสิทธิผลการจัดการเวลา และการตระหนักรู้ในกระบวนการคิดโดยใช้เครื่องมือที่ผ่านการตรวจสอบ
ผลสัมฤทธิ์ของนักศึกษา: บันทึกทางวิชาการอย่างเป็นทางการหรือเกรดที่รายงานตนเองที่ผ่านการตรวจสอบและคะแนนสอบ
ขั้นตอนการเก็บรวบรวมข้อมูล: จัดแบบสอบถามในช่วงต้นภาคการศึกษาและอีกครั้งใกล้ปลายภาคเพื่อวัดการเปลี่ยนแปลงและประเมินความมั่นคงของความสัมพันธ์เมื่อเวลาผ่านไป
ข้อควรพิจารณาด้านจริยธรรม: แบบฟอร์ม Informed Consent อธิบายวัตถุประสงค์การศึกษา มาตรการปกป้องข้อมูล และสิทธิของผู้เข้าร่วมในการถอนตัวโดยไม่มีบทลงโทษทางวิชาการอย่างชัดเจน
การวิเคราะห์ข้อมูล
ใช้ SPSS หรือ R:
สถิติเชิงพรรณนา: ได้ภาพรวมที่ครอบคลุมของข้อมูลพื้นฐานสำหรับตัวแปรทั้งหมด
Moderation Analysis: ทดสอบว่าทักษะการเรียนมีอิทธิพลต่อความแข็งแกร่งของความสัมพันธ์ระหว่างสภาพแวดล้อมห้องเรียนและผลสัมฤทธิ์หรือไม่ ซึ่งรวมถึง:
- Main Effect ของสภาพแวดล้อมห้องเรียนต่อผลสัมฤทธิ์
- Main Effect ของทักษะการเรียนต่อผลสัมฤทธิ์
- Interaction Effect (สภาพแวดล้อม × ทักษะการเรียน)
- Simple Slopes Analysis ที่ระดับต่างๆ ของทักษะการเรียน
เรียนรู้ขั้นตอนโดยละเอียดในคู่มือ Moderation Analysis ใน SPSS ของเรา
ผลลัพธ์ที่คาดหวัง:
นักศึกษาที่มีทักษะการเรียนที่แข็งแกร่งควรแสดงผลประโยชน์ที่มากขึ้นจากสภาพแวดล้อมห้องเรียนเชิงบวก:
| ตัวชี้วัด | ค่า | การตีความ |
|---|---|---|
| ผลกระทบของสภาพแวดล้อมห้องเรียน | β = 0.XX | ผลกระทบหลักของสภาพแวดล้อมห้องเรียนต่อผลสัมฤทธิ์ |
| ผลกระทบของทักษะการเรียน | β = 0.XX | ผลกระทบหลักของทักษะการเรียนต่อผลสัมฤทธิ์ |
| Interaction Effect (สภาพแวดล้อม × ทักษะการเรียน) | β = 0.XX | ทักษะการเรียนปรับเปลี่ยนความสัมพันธ์ระหว่างสภาพแวดล้อมและผลสัมฤทธิ์อย่างไร |
| P-value | p = 0.XXX | นัยสำคัญทางสถิติ ต่ำกว่า 0.05 บ่งชี้ผลกระทบที่มีนัยสำคัญ |
| R-squared (R²) | R² = 0.XX | ความแปรปรวนในผลสัมฤทธิ์ที่อธิบายได้โดยโมเดลสมบูรณ์ |
ตารางที่ 5: ตัวชี้วัดสถิติหลักสำหรับไอเดียงานวิจัยที่ 5 (ทักษะการเรียนเป็นตัวกำกับระหว่างสภาพแวดล้อมห้องเรียนและผลสัมฤทธิ์)
การตีความผลลัพธ์
ในส่วน Discussion ของคุณ อธิบายว่าทักษะการเรียนกำหนดรูปแบบผลประโยชน์ที่นักศึกษาได้รับจากสภาพแวดล้อมห้องเรียนอย่างไร หาก Interaction มีนัยสำคัญ ตีความว่าทักษะการเรียนสูงขยายผลเชิงบวกของสภาพแวดล้อมห้องเรียนที่ดีหรือป้องกันสภาพแวดล้อมที่ไม่ดี
เปรียบเทียบผลการค้นพบกับงานวิจัยที่มีอยู่เกี่ยวกับปฏิสัมพันธ์ระหว่างความถนัดและการรักษา (Aptitude-Treatment Interactions) และการเรียนรู้เฉพาะบุคคล อภิปรายความหมายทางการศึกษา โดยเฉพาะสำหรับวิธีการสอนที่แตกต่าง (Differentiated Instruction) และโปรแกรมการฝึกทักษะการเรียน
ยอมรับข้อจำกัดการศึกษา รวมถึงความลำเอียงในการคัดเลือกที่เป็นไปได้และความท้าทายในการแยกองค์ประกอบเฉพาะของสภาพแวดล้อมห้องเรียน กระตุ้นการวิจัยในอนาคตเพื่อตรวจสอบประเภทเฉพาะของทักษะการเรียนแยกกันหรือสืบสวน Moderator ที่อาจเกิดขึ้นอื่นๆ เช่น แรงจูงใจของนักศึกษาหรือความรู้เดิม
คำถามที่พบบ่อย
สรุป
คู่มือนี้นำเสนอ 5 ไอเดียงานวิจัยเชิงปริมาณที่เรียงลำดับจากความสัมพันธ์แบบสองตัวแปรง่ายๆ ไปจนถึงการวิเคราะห์ Mediation และ Moderation ที่ซับซ้อน แต่ละตัวอย่างประกอบด้วยองค์ประกอบที่ครบถ้วนที่จำเป็นสำหรับการวิจัยวิทยานิพนธ์: คำถามวิจัย สมมติฐาน ตัวแปรที่กำหนดอย่างชัดเจน วิธีการโดยละเอียด ขั้นตอนการเก็บรวบรวมข้อมูล วิธีการวิเคราะห์ และแนวทางการตีความ
เลือกไอเดียงานวิจัยที่สอดคล้องกับความสนใจ ระดับประสบการณ์ และกรอบเวลาของคุณ ใช้ตัวอย่างเหล่านี้เป็นแม่แบบและปรับให้เข้ากับบริบททางวิชาการเฉพาะของคุณ ทรัพยากรที่มีอยู่ และข้อกำหนดของสาขาวิชา
จำไว้ว่าการวิจัยวิทยานิพนธ์ที่ประสบความสำเร็จต้องการมากกว่าการเลือกหัวข้อ มันต้องการการวางแผนอย่างรอบคอบ การดำเนินการที่สม่ำเสมอ และการปรึกษาอย่างต่อเนื่องกับที่ปรึกษาของคุณ ไอเดียงานวิจัยเหล่านี้มให้พื้นฐาน แต่มุมมองเฉพาะของคุณ กรอบทฤษฎี และความเข้มงวดทางระเบียบวิธีจะกำหนดการมีส่วนร่วมสุดท้ายในสาขาของคุณ
เอกสารอ้างอิง
Creswell, J. W., & Creswell, J. D. (2018). Research Design: Qualitative, Quantitative, and Mixed Methods Approaches (5th ed.). SAGE Publications.
Field, A. (2018). Discovering Statistics Using IBM SPSS Statistics (5th ed.). SAGE Publications.
Hayes, A. F. (2018). Introduction to Mediation, Moderation, and Conditional Process Analysis: A Regression-Based Approach (2nd ed.). The Guilford Press.
Tabachnick, B. G., & Fidell, L. S. (2019). Using Multivariate Statistics (7th ed.). Pearson.